土方量计算你学会了吗?
算客工场-海量项目
官方认证权威媒体作者
2026-03-27
|
3676阅读
3
赞




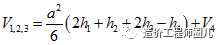
式中,H1、H2、H3、H4分别为一个方格、两个方格、三个方格、四个方格共用角点的标高(m),如图1-3b所示。






算客工场工程行业技术服务众包平台,专注造价咨询







免责声明:文中部分素材来源网络,仅供学习参考,其内容并不代表本公众号赞同其观点或对其真实性、准确性负责,版权归原作者所有,如果侵害了原作者的合法权益或者原作者不希望被转载,请联系我们删除!!!!!!
共28条评论
全国最大一站式工程咨询服务平台
已发表2998篇文章
头条热榜 换一换
- 匠心筑作 | 工程建设领域创作者激励计划
- 广联达GTJ系列高频问题:板/筏板附加钢筋与CAD图纸旋转技巧
- 新版《招标投标法》将是造价咨询的救命药?还是安慰剂?考验行业内功的时候到了
- 2024版新清单计价标准实施半年复盘与实战指南
- 1 重构·变革·升级·厘清·整治——2026年工程造价行业转型五大关键词深度解读与实战指南
- 2 财政部10号文落地:甲供材“宽松简易计税”终结,成本命脉再调整
- 3 施工单位抬高工程造价6大手段,全是审计要点
- 4 造价人必看!工程预结算 15 条高频争议,一次讲透
- 5 打破“审计即讨债”魔咒:2026年审计流程与管控模式升级深度解读与实战指南
- 6 造价效率翻倍!造价师AI提效:保姆级提示词库--甲方最爱(概估算篇)附可直接复制的模板
- 7 土建算量+计价常见高频问题汇编手册-共380页
- 8 施工单位必看!钢筋算量5大易漏项核心解析
- 9 市政工程土石方系数换算 重难点解读
- 10 人社部:职称评审即将迎来大改!
- 11 审计揭秘:高估冒算、重复计价、漏项——结算审计三大“利润杀手”深度解析与避坑指南
- 12 新手做造价老是漏、错、慢?掌握这些技巧帮你提高效率!
- 13 告别“定额依赖”,拥抱“市场定价”——GB/T 50500-2024新版清单实战应用深度解读
- 14 一造打大咖李毅佳:跟我学一造,先来领资料
- 15 市政工程土石方系数换算
- 16 钢材材质Q235B和Q355C的含义是什么?你知道吗?不同牌号价格差异有多大?
- 17 招投标人注意!两大新政落地,踩这3条红线或直接废标!
- 18 土方量计算你学会了吗?
- 19 为什么说26年是一造最简单的一年?
- 20 告别“定额依赖症”:24新清单背后的市场化镇痛与重生
- 21 2026年行业价目表出炉!揭秘!价格原来是这样定的
- 22 告别“套定额”,学会“算市场”——定额市场化改革后如何组价、报价、审价实战指南
- 23 掏家底了:各专业资料全打包送,一造、土建、安装……
- 24 投标文件未响应实质性要求,这也能中标?
- 25 合同纠纷这8大坑,注意啦,别再被坑
- 26 工程造价信息中的材料与实际采购不符,结算如何调整?
- 27 工程结算失真的 8 个真正原因,掌握这些再也不用扯皮了
- 28 土建算量注意事项(从计算设置到构件绘制,全方面解析)
- 29 告别手算!安装造价提效神器
- 30 造价成果有了“专属身份证”
- 31 从入门到精通!安装造价强电、弱电、给排水要点全攻略。
- 32 别踩坑!24新清单措施项目清单,这4条规矩记死不亏
- 33 【干货】最全工程造价审计的流程与技巧,建议收藏!
- 34 零基础学员先从给水系统的概念、分类及组成学习起!
- 35 甲方土建工程师与乙方施工员的区别在哪里?
- 36 广联达精准算量技巧:柱子最容易出错的3大高频问题
- 37 造价工程师专属 AI 提效提示词库(建议收藏备用)
- 38 造价人AI实操手册:从“知道”到“用起来”
- 39 造价人必须知道的速算小技巧(钢筋网片、钢管、镀锌钢板)
- 40 实名制动真格!造价行业迎来“三重洗牌”
- 41 土方开挖新清单计算规则地方与国家的异同,谁更有说服力?
- 42 163张俄语图纸,差点让我这个技术负责人崩溃
- 43 EPC工程总承包全过程十大管控要点
- 44 工程量计算争议这样解决最合理
- 45 造价效率翻倍!造价师AI提效:保姆级提示词库--甲方、招标代理最爱(控制价/标底篇)附可直接复制的模板
- 46 工程签证这样做,不用担心甲方拒签
- 47 钢筋清单描述为什么要写“HRB400”或者“HPB300”,而不写“三级钢筋”或者“二级钢筋”?
- 48 施工方必藏|结算审计全流程避坑,守住利润不被核减
- 49 造价人必看!预算中容易遗漏的100项,你中招了吗?
- 50 各种常用管道管径的表示方法及对照表